Text in pdf : Clémence Ortega Douville – Hermeneulogy – IV – Mind topology and structure
We aim here at describing globally the functioning and structuring of the mind of the individual through the ages of life and layers of sollicitation (from the mere sensorimotor to the highly symbolical insights).

The structure is rooted in its origin O. It is then mainly a vectorial structure with remarkable points : Relay Points concentrating various relational ties and redirecting to others ; a Tensor which is the resistance relay, so the converging point of inertia, concentrating effort and susceptible to be untied ; the structure’s Centre of Gravity, where the state of balance between sensorimotor, affective and symbolical in- and outcomes find common and gathering ground ; Critical Extremities that are subject to isolation from the structure, they are the blind spots of memory ; and the aim of Symbolic Insight, which drives the structure beyond its own limitations. It concentrates the Mind Drive, which we would adress later on.
So far in this model, we did not discriminate the Relay Points. Some may be slight traumas, other larger traumas. Some may be connecting the symbolical issues to the parent figures, the body, the social encounters, the fascination for the object, the thrill of creation or the dread of something horrifying. But that is the large canvas where we could sketch, observe, contemplate, dwell on and organise, think and feel about the topology and volume of the three-parted organisation between sensorimotricity, relational aspects and symbolic developments altogether.
The structure has then been divided in three permeable layers, linked to neurobiologist Jaak Panksepp’s classification (see Three paradoxes theory – Part 2) : the Basic-Primordial Affective States (physiological), the Secondary-Process Affective Memories (relational) and the Tertiary Affects and Neocortical ‘Awareness’ Functions. Far from being a restrictive and strict division, it is more a general setting of how all the aspects of human experience are entangled up together in a same body, brain, environment and relational experience.
As for the practice of analysis, we think it could be a valuable asset in order to keep a clear vision of those intrications. We could not pretend to an exhaustive description and in fact must not pretend to it. It is merely a guide and aid to a more global approach of the psyche’s movements and connections that reveal both the capacities and the resistances of the subject.
The three Principles of Structural Anthropogenesis
We would like to introduce here as well the Three principles of Structural Anthropogenesis, that would be completed by the Principle of attention (or vigilance) in a fluid environment. The three principles of the creation of the paradoxical and relational structure of the mind-to-objects are the subsequent :
1) Principle of uniformity : due to the sensorimotor paradox, the muting of the chant of breathing and the accute sensation of being bathed in a pressured fluid (the untied point‘s support). The entropy of the blocking paradox makes it difficult to stand but it still is sustained in memory as a trauma-typed experience ; means that it can come back and provokes a form of anxiety.
2) Middle principle (principle of unity) : sensorimotor paradox creates a fixed referent to outside mouvement of the environment that gives intentional unity to the perception of the surroundings. It becomes a duality « me and the world », a system of difference. It also amplifies the interpersonal projection on the environment, the processes of identification and personification on the localities and objects of the world. Yet, an incertitude remains whether the reality to choose, the plan for interpretation to occupy, whether there is something hidden behind the inertia of the object(s), whether there is a hidden aspect to it or not, the mystics beyond.
3) Principle of discontinuity and triangulation : to break with the anxiety of incertitude about how to (re)act toward the object, an event is created around it that involves the participation of a third party, whose participation takes up the meaning of the event and in the same movement, of the object. The mind becomes a virtual space for coordinating the memory of such events. The elaboration of language is then authorised for such developments in the creation of new events, pretext to relational meaning both to the world and the others. It happens by process of triangulation and then, the rupture of the initial uniformity of the paradoxical relation to the object, with the irruption of a discontinuity. This three-parted structure is then chained and sequenced in the codified paths of moral and social conducts.
The principle of attention in a fluid environment
Then, we describe the three-parted and triangular work process of the attentive mind to their surrounding objects in general :
1) Uniformity : paradoxical capacity to put oneself in relation to an object and partially exclude the others ;
2) Unity : contextual stability (either environmental or symbolical) checked up by the subject, that gives the frame of interpretation and makes the nature of the object conform with the general expectations to it ;
3) Discontinuity : divergence, association and change of object, even change of expectation toward a context that would have changed.
This merely unconscious chain of mind-working can be applied to object-minding on the physical environment of the person, relational reliability and/or symbolic sequencing and chaining through language or form. It is then a cyclic movement.

During analysis as well as during life, attention is successively focused on 1) the uniformity of the relational bond, 2) the general coherence of the environmental context, and 3) the capacity to divert attention and to connect it to something else.
This is the cellular canvas of the principle of vigilance of the mind in a fluid milieu, which means an environment that is constantly susceptible to change. The whole structure of the mind is summoned, submitted and sollicitated to the task. Therefore, the more resistance the structure proves, the more perturbed would the cycling be.
For example, a dirsuption in the capacity of the subject to remove attention from a problematic object, to create discontinuity in attention, would be most likely to provoke a raising of physiological entropy and anxiety. An incertitude whether which object to switch on would provoke disarray. As well, the temporary incapacity to verify the validity and the coherence of the context I am plunged into would lead to a similar disorientation.
As for the disturbance in the uniformity of the relation to objects (either physical and/or symbolic), we may suggest that part of psychotic state would lean on that. The reason would be the difficulty to clearly identify the object or dissociate from it. Uniformity in fact implies that you partially discriminate yourself from the object, discrimination that is eventually proceeded by the unity (identifying of the background context) and discontinuity (interchanging the objects) process.
Yet if the primary bond is unsure, the rest of the structure reveals unsound. There is a difficulty to discriminate the parties taken in the relation to the object that makes the expectation to it unclear, as well as the largely unconscious identification of the third-party included in the symbolic function. This one would be certainly excluded, delayed and displaced.
We would then put forward that this elementary functioning of attention allows the sollicitation of connections between elements in memory made relatively functional, relational or symbolic.
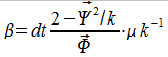
The Mathematics of the Mind Drive
We would also propose a formalised mathematical function for the elementary mind drive, from the Insight Drive and Centre of Gravity to the structure proposed. There the function β of the mind’s drive :

Where dt is the differential infinitesimal time lapse ;
the module (2 – exponential psychic drive to symbolic objects over the limit point k that is the untied point), tensor to the resistance to sustained effort (the module equals
when
equals k ; vector
the physical drive ;
coefficient of the mass of the mind structure over the tensor.
The complex
represents the pressure point, the couple psyche-body that needs to stay in balance. When shut down, only remains
, that is the inertia of the sensorimotor paradox, represented by the untied point.
This function β helps us formalise the description made of the workings and structure of the mind.
Ethical issues
To finish, we would add that the structure described for the topology of the mind would not be even but rather unequal. Not all points have the same weight, that is why it is formalised as a vectorial structure. Symbolical meanings are weight by the mark left on the subject by slight or larger traumas, which are consciously or unconsciously active, or susceptible to be reactivated all along the subject’s life.
That is why such a description of the mind’s structure should not be taken too lightly. It allows us to create and open a space to support the mind’s inspection and introspection. It allows us to think on the mind in a very large sense, to observe itsgeneral intrications and movements.
In the work with a concrete subject, a patient, a person’s life, it would merely allow us to make analogies. As always, even such an item is a metaphor. Yet it may grant us with a rather complete, or at least coherent vision of how the resistances are intricated with the sensorimotor anchors, the relational experiences and the symbolic extrapolations.
It is not an exact map we are making of the mind, but an allegory. It is then imprecise, highly contextual and above all, something to be observing on a fast but most legitimate personal level.

Laisser un commentaire